Landwirtschaft | Geoinformation

Landesweite Erfassung von Ernteerträgen durch Kopplung von Satellitenbildern, Verwaltungsdaten und in-situ Daten

Von Dr. Jens Hollberg (Hessisches Statistisches Landesamt), Sarah Wilfling und Dr.-Ing. Damian Bargiel (beide Technische Universität Darmstadt)

  1. Fernerkundungsdaten – ein Weg zu flächendeckenden Ertragsdaten für die Landwirtschaftsstatistik?
  2. Material und Methoden
  3. Ergebnisse
  4. Diskussion
  5. Status Quo und nächste Schritte
  6. Literatur

1. Fernerkundungsdaten– ein Weg zu flächendeckenden Ertragsdaten für die Landwirtschaftsstatistik?

Aktualität, Flächenabdeckung und Kleinräumigkeit sind bedeutende Anforderungen an die Landwirtschaftsstatistik − sowohl heute, als auch in Zukunft. Um den steigenden Bedarf nach Daten mit diesen Eigenschaften zu bedienen, strebt die amtliche Statistik den Einsatz moderner Technologien an. Daher sind Fernerkundungsdaten, darunter insbesondere Satellitenbilder, zunehmend für die amtliche Statistik von Interesse. Eine große Rolle spielt dabei das Copernicus Erdbeobachtungsprogramm der Europäischen Union und der Europäischen Weltraumorganisation. Aus diesem Programm eignen sich zur Datenerfassung für die Landwirtschaftsstatistik insbesondere Bilder der Copernicus Sentinel-2-Satelliten.

Die Sentinel-2-Satelliten decken die gesamte Landesfläche Hessens mit einer Wiederholrate von wenigen Tagen ab und bieten die Möglichkeit, aktuelle Informationen zur Beschaffenheit landwirtschaftlicher Flächen abzuleiten. Durch die hohe räumliche Auflösung der Satellitenbilder von bis zu 10 Metern je Bildelement können auch kleinräumige Phänomene effizient aus dem All betrachtet werden. So können bewirtschaftete Flächen erfasst, das Wachstum der Pflanzen auf diesen Flächen quantifiziert und Veränderungen der Vegetationsbedeckung überwacht werden (Serrano et al. 2000; Hollberg & Schellberg 2017). Insbesondere die Erfassung von landwirtschaftlichen Erträgen lag dabei im Fokus zahlreicher Studien, die über Regressionsverfahren oder maschinelles Lernen Felderhebungen und Satellitenbilder in Beziehung setzten (Shanahan et al. 2001; Teal et al. 2006; Alganci et al-2014: Ferner et al. 2015; Chlingaryan et al. 2018). Dabei wurden insbesondere Sensoren, die im Bereich des sichtbaren Lichts sowie des Infrarots messen, genutzt (sog. Multispektralsensoren wie die des Sentinel-2-Satelliten).

Die Erfassung der landwirtschaftlichen Erträge ist eine der Kernaufgaben der Landwirtschaftsstatistik. Hier könnten Fernerkundungsdaten der Schlüssel zu einer flächendeckenden, detaillierten (d.h. bis zu 10 m räumliche Auflösung) und präzisen Erfassung der erwirtschafteten Erträge sein. Im Hessischen Statistischen Landesamt wird derzeit der Ertrag für ausgewählte Feldfrüchte im Rahmen der Besonderen Ernte- und Qualitätsermittlung (BEE, EVAS Nr.: 41246, siehe Abschnitt 2.1) als Stichprobe erhoben. Auf Basis dieser Daten sowie der Angaben freiwilliger Ernteberichterstattender wird eine Erntemenge auf Kreisebene berechnet. Was den statistischen Ämtern aber nicht vorliegt, sind flächendeckende kleinräumige Informationen zu den Erntemengen für Felder, die sich räumlich (unter Umständen sogar zwischen benachbarten Feldern) erheblich unterscheiden können. Solche Schwankungen der Erträge können u.a. durch Unterschiede der Bodenbeschaffenheit und des Klimas aber auch durch Gewitter und Hagelschlag ausgelöst werden. Mit Hilfe von Fernerkundungsdaten können flächendeckende Ertragsdaten gewonnen werden, die sich zur Identifizierung kleinräumiger Ertragsschwankungen sowie zur Validierung der Angaben der Ernteberichterstattenden eignen. Somit können Fernerkundungsdaten dazu beitragen, die Qualität sowie die Aktualität der Erhebungsdaten weiter zu erhöhen.

Daher hat das Hessische Statistische Landesamt diese Studie in Kooperation mit der Technischen Universität Darmstadt durchgeführt. Das Ziel war, Fernerkundungsdaten und fachstatistische Daten so zu kombinieren, dass eine kleinräumige Erfassung der Erträge ausgewählter landwirtschaftlicher Kulturen für die gesamte Anbaufläche Hessens erstellt werden kann. Dabei wurden frei verfügbare Satellitenbilder des Copernicus-Erdbeobachtungsprogramms sowie vorhandene Daten aus der Fachstatistik sowie der Verwaltung genutzt. Außerdem wurde evaluiert, ob auf Basis der gewonnenen Daten die Ausweisung von Erträgen nach verschiedenen Gliederungssystematiken (administrativ und naturräumlich) möglich ist.

2. Material und Methoden

In diesem Projekt wird auf Datenmaterial aus der BEE (Abschnitt 2.1), dem integrierten Verwaltungs- und Kontrollsystem (InVeKoS, Abschnitt 2.2) sowie auf Bilder der Sentinel-2- Satelliten (Abschnitt 2.3) aus dem Jahr 2017 zurückgegriffen. Nach der Aufbereitung der Eingangsdaten erfolgte die Anwendung der Methoden, mit deren Hilfe die Modelle erstellt (Abschnitt 2.4) und auf die Landesfläche Hessens angewendet (Abschnitt 2.5) wurden. Die Studie umfasst das gesamte Bundesland Hessen.

2.1 Besondere Ernte- und Qualitätsermittlung

Im Rahmen der BEE werden im Land Hessen jährlich die Erträge verschiedener landwirtschaftlicher Kulturen als Stichprobe erhoben. Diese Kulturen waren im Jahr 2017 Winterweizen, Wintergerste, Winterroggen und Winterraps. Insgesamt liegen dieser Studie 490 Ertragsmessungen auf Schlagebene (d.h. für einzelne landwirtschaftliche Parzellen) vor. Die gemessenen Erträge variierten dabei zwischen durchschnittlich 34,5 dt/ha für Winterraps und 83,5 dt/ha für Winterweizen. Zwischen den einzelnen Schlägen einer Kultur wurden aber mitunter beträchtliche Schwankungen verzeichnet (vgl. Standardabweichung, Minima und Maxima; Tabelle 1). In Ergänzung zu den Ertragsmessungen wurden auch Informationen zum Datum der Ernte sowie die Koordinaten (Rechts- und Hochwert) aufgenommen.

Tabelle 1 Stichprobenzahl und Ergebnisse der Ertragsmessungen in Hessen 2017
  Winterweizen Wintergerste Winterroggen Winterraps
Anzahl der Stichproben 149 144 131 66
Arithmetisches Mittel (dt/ha) 83,5 75,9 65,4 34,5
Standardabweichung (dt/ha) 16,9 17,3 21,5 7,9
Minimum (dt/ha) 42,4 34,0 18,7 10,4
Maximum (dt/ha) 120,0 116,0 118,7 50,6

 

2.2 Integriertes Verwaltungs- und Kontrollsystem

Hessenweite Angaben zu den Anbauflächen der vier genannten Kulturen bietet das Integrierte Verwaltungs- und Kontrollsystem (InVeKoS). Diese Angaben umfassen eine detaillierte Beschreibung der geografischen Lage und Geometrie der einzelnen Schläge. Die relevanten Flächen wurden aus dem InVeKoS extrahiert und für die weitere Analyse genutzt. Insgesamt wurden die vier Zielkulturen in Hessen im Jahr 2017 in 156.348 Schlägen angebaut (Tabelle 2).

Tabelle 2 Anzahl der Schläge der Zielkulturen in Hessen 2017
Kultur Anzahl der Schläge
Winterweizen 80.433
Wintergerste 38.091
Winterroggen 8.465
Winterraps 29.359

 

2.3 Satellitenbilder

Mit Sentinel-2 sind Satellitenbilder für das Land Hessen kostenfrei verfügbar, die sich gut für die Erfassung von Ernteerträgen bis auf Schlagebene eignen. Die räumliche Auflösung des Sensors liegt dabei zwischen 10 m und 60 m und wurde in dieser Arbeit auf 10 m skaliert. Um ein möglichst umfassendes Bild über die Zielkulturen zu erhalten, wurde der 10. Mai 2017 als idealer Zeitpunkt für die Satellitenbildaufnahme identifiziert. Zu diesem Zeitpunkt war das Wachstum aller vier Zielkulturen so weit fortgeschritten, dass Schlüsse auf den Ertrag möglich waren. Zudem waren die Felder noch nicht abgeerntet und es lagen geeignete, wolkenfreie Satellitenbilder vor.

Zur Ertragserfassung wurden Satellitendaten bezogen (ESA 2019), für die bereits eine atmosphärische Korrektur[1] sowie eine Georeferenzierung[2] (inklusive Orthorektifizierung[3]) durchgeführt  wurde. Insgesamt wurden sieben Satellitenbilder benötigt, um die gesamte Landesfläche Hessens abzubilden. Schließlich wurden Helligkeitsunterschiede zwischen den Bildern durch Normalisierung ausgeglichen und Flächen, die von Wolken bedeckt waren, entfernt.

2.4 Kalibrierung des Modells

Um die fernerkundlichen Informationen den Messungen der BEE zuordnen zu können, wurden die Lage und Geometrie derselben Flächen aus dem InVeKoS extrahiert. Am Rand der betreffenden Schläge können zudem Pixel vorkommen, die auch Informationen aus umliegenden Flächen beinhalten (sogenannte Mixed Pixel). Daher wurde der Randbereich von 14 m innerhalb der Polygone des InVeKoS entfernt. Für die Kalibrierung des Modells wurde für jede Erhebungsfläche der Mittelwert der spektralen Reflexion in den Satellitenbändern berechnet und der jeweilige Wert aus der BEE zugeordnet.

Anschließend wurde für jede einzelne Fruchtart mit einer Regression der partiellen kleinsten Quadrate (Partial Least Squares Regression, PLSR) mit Hilfe des R Package autopls (Schmidtlein et al. 2015) ein Modell erstellt, das Ertragsmessungen und Spektralinformationen in Beziehung setzt (Abbildung 1). Um das ideale Modell zu identifizieren, wurde ein Kreuzvalidierungsverfahren (Leave one out cross validation, LOO-CV) genutzt. Die Ausgabe des Modells ist der geschätzte Ertrag pro Hektar auf Basis der eingesetzten Fernerkundungsdaten.

Abbildung 1  Kalibrierung und Validierung der Ertragsmodelle.

Abbildung 1 Ertragsmodel
Vervielfältigung und Verbreitung, auch auszugsweise, mit Quellenangabe gestattet.
Bild in Originalgröße herunterladen

2.5 Modellanwendung

Das Ergebnis der in Abschnitt 2.4 kalibrierten Modelle ist eine Funktion, die, angewandt auf Satellitenbilder, eine Schätzung des Ertrags der beobachteten Fläche zulässt. Um dies zu erreichen, wurden zunächst alle Anbauflächen von Winterweizen, Wintergerste, Winterroggen und Winterraps aus dem InVeKoS extrahiert und auch hier ein Randbereich von 14 m entfernt. Zu jeder Fläche wurde anschließend der Durchschnittswert der Reflexion pro Spektralband berechnet. Durch eine Kopplung der optischen Informationen kann anschließend der Durchschnittsertrag der einzelnen Flächen mit Hilfe der Regressionsmodelle berechnet werden. Allerdings konnten aufgrund einer zu geringen Größe für insgesamt 12.659 der gut 150.000 Polygone keine verlässlichen Reflexionswerte erfasst werden. Für diese Polygone wurde zur näherungsweisen Berechnung des Ertrags der Landesdurchschnittsertrag für die jeweilige Kultur herangezogen. So konnte für jedes Feld in Hessen, auf dem 2017 eine der untersuchten Fruchtarten angebaut wurde, der Ertrag pro Hektar und der Gesamtertrag zugeordnet werden. Um den Anforderungen des Datenschutzes und der statistischen Geheimhaltung zu genügen, wurden die Ergebnisse auf administrativer sowie naturräumlicher Ebene aggregiert. Das Vorgehen von der Untersuchung des Entwicklungsstands der Pflanzen (Phänologie) bis zur Modellanwendung ist in Abbildung 2 aufgeführt.

Abbildung 2  Schritte zur Verarbeitung der Satellitenbilder und zur Modellierung von Ernteerträgen (Wilfling 2019).

Abbildung 2 Entstehungsprozess
Vervielfältigung und Verbreitung, auch auszugsweise, mit Quellenangabe gestattet.
Bild in Originalgröße herunterladen

3. Ergebnisse

Die Ergebnisse basieren im Wesentlichen auf der Arbeit von Sarah Wilfling (Wilfling 2019) und wurden im Rahmen eines Kooperationsprojekts des Instituts für Geodäsie der Technischen Universität Darmstadt sowie des Hessischen Statistischen Landesamt erarbeitet.

3.1 Modellierung

Die Genauigkeitsmaße der Modellierung belegen, dass mit Fernerkundungsverfahren eine Erfassung der Ernteerträge mit moderater Genauigkeit möglich ist. Bezogen auf die Landesfläche wurden in der Kalibrierung Korrelationskoeffizienten (rPearson) zwischen 0,44 und 0,77 und in der Validierung zwischen 0,4 und 0,67 erreicht (Tabelle 3). Diese Werte belegen deutliche Verbesserungen gegenüber einer Berechnung der Erträge auf Basis von Landesmittelwerten. Die Wurzel der mittleren Fehlerquadratsumme (RMSE) lag dabei, je nach Kultur, zwischen 5,9 dt/ha und 16 dt/ha in der Validierung.

Tabelle 3 Genauigkeitsmaße der Modellierung. Kal.=Kalibrierung, Val.=Validierung (vgl. Wilfling 2019)
  Winterweizen Wintergerste Winterroggen Winterraps
RMSE (Kal.) in dt/ha 14,7 15,5 14,9 5,0
RMSE (Val.) in dt/ha 15,3 15,8 16,0 5,9
rPearson (Kal.) 0,49 0,44 0,72 0,77
rPearson (Val.) 0,43 0,40 0,67 0,67

 

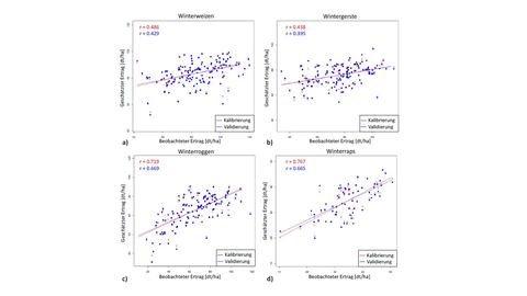
Die guten Ergebnisse der einzelnen Ertragsmessungen belegt dabei auch Abbildung 3, in der die geschätzten Erträge und die in der BEE erhobenen Erträge eine deutliche Korrelation aufweisen. Insbesondere für Winterroggen und Winterraps sind für viele Beobachtungen gute Schätzungen auf Basis der Fernerkundungsdaten belegt. Für Winterweizen und Wintergerste war die Streuung der Modellierergebnisse diffuser, wodurch die geringeren rPearson zu erklären sind.

Abbildung 3  Beobachteter versus geschätzter Ertrag mit Regressionsgeraden und Pearson Korrelationskoeffizienten (r) von a) Winterweizen, b) Wintergerste, c) Winterroggen und d) Winterraps (Wilfling 2019).

Abbildung 3 Wintergetreide
Vervielfältigung und Verbreitung, auch auszugsweise, mit Quellenangabe gestattet.
Bild in Originalgröße herunterladen

3.2 Modellanwendung auf Anbauflächen in Hessen

Durch die fernerkundliche Modellierung konnten auf Basis von 490 Messungen aus der BEE Ertragsdaten für mehr als 156.000 Schläge abgeleitet werden (Abbildung 4, Tabelle 2).

Abbildung 4 Fernerkundliche ermittelte Hektarerträge (rot dargestellt).

Abbildung 4 Satellitbilder von Feldern
Vervielfältigung und Verbreitung, auch auszugsweise, mit Quellenangabe gestattet.
Bild in Originalgröße herunterladen

Die Anbauflächen und die ermittelten Gesamterträge nach Angabe der Landwirtschaftsstatistik sowie aus dieser Studie sind in Tabelle 4 dargestellt. Die Ergebnisse der InVeKoS-basierten Berechnung der Anbauflächen weichen dabei je nach Kultur zwischen 0 und 15 % von den Angaben der Landwirtschaftsstatistik ab. Eine Ursache hierfür ist, dass die Flächen in der Landwirtschaftsstatistik nach Betriebssitzen erfasst werden (d.h. die Flächen können außerhalb Hessens liegen, aber zu einem hessischen Betrieb gehören), während die InVeKoS basierte Auswertung flächenscharf ist. Bezogen auf den Gesamtertrag befinden sich die Ergebnisse für Winterraps auf einem sehr ähnlichen Niveau, während für Winterweizen, Wintergerste und Winterroggen Unterschiede von 8, 14 bzw. 19 % identifiziert werden konnten. Dabei sind die Erträge aus dieser Studie stets höher als die Hochrechnungen der Landwirtschaftsstatistik.

Tabelle 4 Anbaufläche und Erträge in Hessen 2017 nach Ergebnissen dieser Studie sowie laut Erhebung der Landwirtschaftsstatistik (LS) (HSL 2018; Wilfling 2019)

  Winterweizen Wintergerste Winterroggen Winterraps
LS Studie LS Studie LS Studie LS Studie
Anbaufläche
(Tsd. ha)
160 155 65 65 14 12 58 57
Durchschnittsertrag
(dt/ha)
75 83 69 74 58 61 34 34,5
Gesamtertrag
(Tsd. t)
1.194 1.297 442 514 79 98 197 199

Beispiele für eine fernerkundungsbasierte kleinräumige Ausweisung von Erträgen sind in Abbildung 5 und Abbildung 6 dargestellt. Dabei war zu beachten, dass die Anforderungen der statistischen Geheimhaltung sowie des Datenschutzes gewährleistet sind. Aus diesem Grund hat sich diese Studie auf die administrativen Grenzen auf Ebene der Landkreise und kreisfreien Städte sowie auf die Angabe zu naturräumlichen Haupteinheiten beschränkt.

Unterschiede der Gesamterträge sowie der Durchschnittserträge der vier Kulturen sind sowohl nach naturräumlichen Einheiten, als auch nach administrativen Grenzen zu erkennen. Während die Gesamterträge in Form proportionaler Symbole (Kreise) dargestellt sind, besteht die Möglichkeit, auch die zugehörigen Durchschnittserträge durch die entsprechende Auswahl von Farben kenntlich zu machen.

Abbildung 5 Fernerkundlich erfasste Ernteerträge für Winterweizen, Wintergerste, Winterraps und Winterroggen in Hessen 2017 nach Landkreisen und kreisfreien Städten (Wilfling 2019)

Abbildung 5 Wintergetreide
Vervielfältigung und Verbreitung, auch auszugsweise, mit Quellenangabe gestattet.
Bild in Originalgröße herunterladen

Abbildung 6 Fernerkundlich erfasste Ernteerträge für Winterweizen, Wintergerste, Winterraps und Winterroggen in Hessen 2017 nach naturräumlichen Haupteinheiten (Wilfling 2019)

Abbildung 6 Wintergetreide
Vervielfältigung und Verbreitung, auch auszugsweise, mit Quellenangabe gestattet.
Bild in Originalgröße herunterladen

4. Diskussion

4.1 Sind Fernerkundungsdaten für die Ertragserfassung in der amtlichen Statistik geeignet?

Diese Studie belegt, dass auf Basis vorhandener statistischer Daten, Verwaltungsdaten und Fernerkundungsdaten eine kleinräumige Erfassung landwirtschaftlicher Erträge möglich ist. Fernerkundungsdaten bieten einen Mehrwert für die Landwirtschaftsstatistik, da die Erträge der vier Kulturen mit vorhandenen Erhebungsdaten bislang nur auf Landesebene ausgewiesen werden konnten. Zudem können Daten auf beliebigen Aggregationsebenen oberhalb eines Schlags ermittelt werden. Anders gesagt, können so zukünftig kundenspezifische Anfragen nach Ernteerträgen bedient werden, die, neben der Gliederung nach Verwaltungseinheiten, andere geografische Einteilungen (z.B. naturräumliche Gliederung, Gliederung nach Bodentypen, einzelne Schläge, etc.) aufweisen. Von Interesse kann dies insbesondere sein, wenn Informationen zur Auswirkung lokal auftretender Phänomene (wie Sturm- oder Hagelschlag) oder lokale Folgen von Dürreereignissen auf die Ernteerträge benötigt werden. Dabei müssen stets der Datenschutz und die statistische Geheimhaltung berücksichtigt werden. 

Neben der kleinräumigen Erfassung von Erträgen auf Landesebene können sich die gewonnenen Daten ebenso dazu eignen, um Befragungsdaten zu plausibilisieren. Positiv zu bewerten ist auch die zunehmende Unabhängigkeit der amtlichen Statistik von freiwilligen Ernteberichterstattern, wie sie derzeit bspw. in der Ernte- und Betriebsberichterstattung (EBE, EVAS-Nr. 41241) eingesetzt werden. Dies ist insbesondere angesichts der derzeit sinkenden Zahlen der Ernteberichterstatter von Interesse. Zudem kann mit dem entwickelten Workflow relativ zeitnah nach dem Eingang der Ergebnisse der BEE eine kleinräumige Schätzung der Erträge auch in Folgejahren erzeugt werden.

Durch die Größe der landwirtschaftlichen Schläge von meist mehr als 50 ˣ 50 m sind Sentinel-2 Aufnahmen hinsichtlich ihrer räumlichen Auflösung als geeignet einzustufen. Problematisch bei der Nutzung von Sentinel-2 Daten ist die Abhängigkeit von (möglichst) wolkenfreien Bildern. Dies gilt insbesondere, da sich ein relativ kurzes Zeitfenster (von einigen Wochen) bietet, in dem landwirtschaftliche Erträge auf Basis multispektraler Satellitendaten ermittelt werden können. Jedoch liegen jährlich im genannten Zeitfenster mehrere Aufnahmen der gesamten Landesfläche vor, sodass die Verfügbarkeit relativ wolkenfreier Bilder wahrscheinlich ist. 

4.2 Einordnung der Methode und Genauigkeit der Ertragsschätzung

Die Partial Least Squares Regression (PLSR) wurde in dieser Untersuchung als geeigneter Algorithmus zur Erfassung von Erträgen für die Landwirtschaftsstatistik erprobt. Diese Beobachtungen decken sich mit vorhergehenden Arbeiten, die eine Eignung der PLSR zur Erfassung verschiedener Ertragsparameter identifiziert haben (Ferner et al. 2015; Hollberg 2018). Diese Methode hat, verglichen mit anderen Regressionsverfahren, den Vorteil, dass sie relativ wenig durch eine Überanpassung der Modelle (sog. Overfitting), beeinflusst ist.

Die erreichten Genauigkeiten variieren in dieser Studie zwischen den Feldfrüchten. So konnten für Winterraps und Winterroggen höhere Korrelationskoeffizienten als für Wintergerste und Winterweizen erzielt werden. Die Güte der fernerkundlichen Ertragsschätzung wird dabei von verschiedenen Faktoren beeinflusst. So sind die Modelle anhand einer Stichprobe (der BEE) kalibriert worden. Die Durchschnittserträge dieser Stichprobe weichen positiv von den Angaben der Durchschnittserträge im Statistischen Bericht, der auf Basis der Ernte- und Betriebsberichterstattung (EBE) und der BEE generiert wurde, ab. Dies erklärt ebenso, warum die Gesamterträge, die für die vier Feldfrüchte auf Basis der Fernerkundungsdaten generiert wurden, höher liegen als die Angaben der Landwirtschaftsstatistik (vgl. Tabelle 4). Weitere Probleme können durch Wolken und deren Schatten bei der Modellanwendung ausgelöst werden. Anhand der genutzten (relativ wolkenfreien) Satellitenbilder trifft dies aber nur für wenige Flächen zu. 

Des Weiteren wurden die BEE-Probeschnitte der Getreidesorten vor dem tatsächlichen Erntedatum erhoben. Daher kommt es zwischen Erhebung und Ernte zu (meist) geringeren Änderungen der Erträge, die sich wiederum auf die Modellgenauigkeit auswirken. Im Gegensatz zu den Getreidesorten wird Winterraps per Volldrusch beprobt. Daher besteht bei dieser Fruchtart kein Zeitunterschied zwischen Erhebung und Erntedatum, was wiederum eine Erklärung für die relativ hohe Modellgenauigkeit sein kann. Ein weiterer Faktor, der die Modellgüte beeinflusst, ist der zeitliche Versatz zwischen der Felderhebung sowie dem Zeitpunkt der Satellitenbildaufnahme. Diese variiert (da Satellitenbilder eines Tages genutzt wurden) im Einzelfall. Außerdem ist zu erwähnen, dass die in den Satellitenbildern abgebildeten optischen Eigenschaften durch den gesamten oberirdischen Teil der Pflanzenbestände (insbesondere Biomasse, grüne Blattfläche) beeinflusst werden. Teil der Studie war wiederum nur ein Anteil der Biomasse – der Kornertrag. Nichtsdestotrotz hängt der Kornertrag maßgeblich von der Biomasse der Pflanzen ab, was das dargelegte Vorgehen unterstützt. Ein Blick auf die räumliche Verteilung der Stichproben zeigt zudem, dass einige Naturräume (wie z.B. der Taunus sowie das nördliche Oberrheintiefland) in der BEE unterrepräsentiert sind. Somit sind die entwickelten Ertragsmodelle für diese Naturräume nicht ausreichend kalibriert.

5. Status Quo und nächste Schritte

Diese Studie hat gezeigt, dass aus einer Kombination von Fernerkundungsdaten, fachstatistischen Daten und Verwaltungsdaten flächendeckende und kleinräumige landwirtschaftliche Ertragsdaten gewonnen werden können. Die Genauigkeit des Verfahrens ist als moderat einzustufen. Jedoch sind die Ergebnisse weit besser als die Schätzung kleinräumiger Erträge über Mittelwerte. Zudem bieten sich verschiedene Ansätze, die eine noch präzisere Ertragsermittlung auf Basis von Fernerkundungsdaten ermöglichen können. Dazu gehören der Test weiterer Algorithmen (z.B. Machine Learning), eine verbesserte Detektion von Wolken, die Integration weiterer Fernerkundungsdaten (insb. von Radarsatelliten wie Sentinel-1, die auch bei Bewölkung Bildmaterial liefern können) und die Modellierung über Zeitreihen. Eine weitere Verbesserung kann eine kulturspezifische Auswahl des Zeitpunkts der Satellitenbilder darstellen. Auch eine Übertragbarkeit auf andere Regionen (außerhalb Hessens), die Anwendung der Ertragsmodelle auf Folgejahre sowie die Modellierung weiterer ackerbaulicher Kulturen bieten für die amtliche Statistik einen großen Mehrwert. Schließlich ist der Einsatz von fernerkundungsbasierten Landnutzungsklassifikationen (anstatt InVeKoS) denkbar, die aufgrund der hohen zeitlichen Auflösung von Satellitenbildern eine Grundlage für die Steigerung der Aktualität der Ertragserfassung sind. Um diese Aufgaben stemmen zu können, müssen die entwickelten Algorithmen automatisiert werden. Ein weiterer wichtiger Punkt ist die Einbindung der generierten Daten in die Fachstatistik – einerseits als ergänzendes Produkt, andererseits als Instrument in der Qualitätssicherung.

[1] Atmosphärische Korrektur: Von der Erdoberfläche reflektierte Strahlung wird auf dem Weg durch die Atmosphäre zum Satellitensensor verfälscht. Um die eigentlichen optischen Eigenschaften der Objekte auf der Erdoberfläche zu erhalten, wird das am Sensor empfangene Signal korrigiert.
[2] Georeferenzierung (von Satellitenbildern): Zuweisung der Lage der Bildinformationen zu einer Position auf der Erde.
[3] Othorektifizierung: Korrektur eines Bildes für geometrische Verzerrungen, die bei der Aufnahme von Satellitenbildern entstehen können.

6. Literatur

Alganci, U., Ozdogan, M., Sertel, E., & Ormeci, C. (2014). Estimating maize and cotton yield in southeastern Turkey with integrated use of satellite images, meteorological data and digital photographs. Field Crops Research, 157, 8-19.

Chlingaryan, A., Sukkarieh, S., & Whelan, B. (2018). Machine learning approaches for crop yield prediction and nitrogen status estimation in precision agriculture: A review. Computers and Electronics in Agriculture, 151, 61-69.

ESA [European Space Agency] (2019). Copernicus Open Access Hub. Zugriff am 12.03.2020. Zur Internetseite.Öffnet sich in einem neuen Fenster

Ferner, J., Linstädter, A., Südekum, K. H., & Schmidtlein, S. (2015). Spectral indicators of forage quality in West Africa’s tropical savannas. International Journal of Applied Earth Observation and Geoinformation, 41, 99-106.

Hollberg, J., & Schellberg, J. (2017). Distinguishing intensity levels of grassland fertilization using vegetation indices. Remote Sensing, 9(1), 81.

Hollberg, J. L. (2018). Detecting Plant Functional Traits of Grassland Vegetation Using Spectral Reflectance Measurements. Dissertation, Mathematisch-Naturwissenschaftlichen Fakultät, Rheinische Friedrich-Wilhelms-Universität Bonn.

HSL [Hessisches Statistisches Landesamt] (2018). Statistische Berichte. Die Ernte ausgewählter Feldfrüchte in Hessen 2017. Zugriff am 11.3.2020. Zur InternetseiteÖffnet sich in einem neuen Fenster.

Schmidtlein, S., Oldenburg, C. & Feilhauer, H., (2015). Package autopls. Partial least square regression with backward selection of predictors. Zugriff am 12.03.2020. Zur Internetseite.Öffnet sich in einem neuen Fenster

Serrano, L., Filella, I., & Penuelas, J. (2000). Remote sensing of biomass and yield of winter wheat under different nitrogen supplies. Crop science, 40(3), 723-731.

Shanahan, J. F., Schepers, J. S., Francis, D. D., Varvel, G. E., Wilhelm, W. W., Tringe, J. M., Schlemmer, M. R. & Major, D. J. (2001). Use of remote-sensing imagery to estimate corn grain yield. Agronomy Journal, 93(3), 583-589.

Teal, R. K., Tubana, B., Girma, K., Freeman, K. W., Arnall, D. B., Walsh, O., & Raun, W. R. (2006). In-season prediction of corn grain yield potential using normalized difference vegetation index. Agronomy Journal, 98(6), 1488-1494.

Wilfling, S. M. (2019). Fernerkundliche Erfassung der Ernteerträge von Winterweizen, Wintergerste, Winterroggen und Winterraps. Masterarbeit, Fachbereich Bau- und Umweltingenieurwissenschaften, Technische Universität Darmstadt.